Мемлекеттік сатып алу жоспары » АЛМАТЫ ОБЛЫСЫ БІЛІМ БАСҚАРМАСЫНЫҢ ТАЛҒАР АУДАНЫ БОЙЫНША БІЛІМ БӨЛІМІ МЕМЛЕКЕТТІК МЕКЕМЕСІНІҢ “ЖАМБЫЛ ЖАБАЕВ АТЫНДАҒЫ №6 ЖАЛПЫ БІЛІМ БЕРЕТІН ОРТА МЕКТЕБІ” КОММУНАЛДЫҚ МЕМЛЕКЕТТІК МЕКЕМЕСІ
Алматы облысы білім басқармасының Талғар ауданы бойынша білім бөлімі мемлекеттік мекемесінің “Жамбыл Жабаев атындағы
№6 жалпы білім беретін орта мектебі” коммуналдық мемлекеттік мекемесі

Қабылдау бөлімі:

+7 (727) 743-41-87
Нашар көрушілер
нұсқасы

Қош келдіңіздер!

05
сәуір
2022

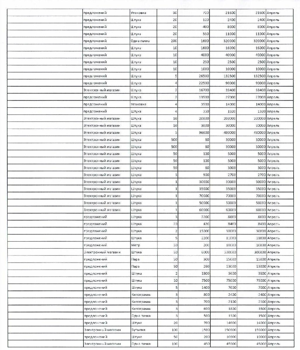
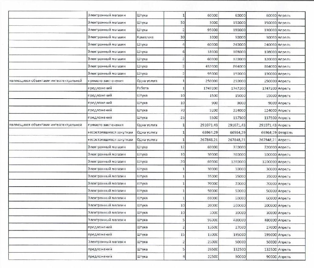
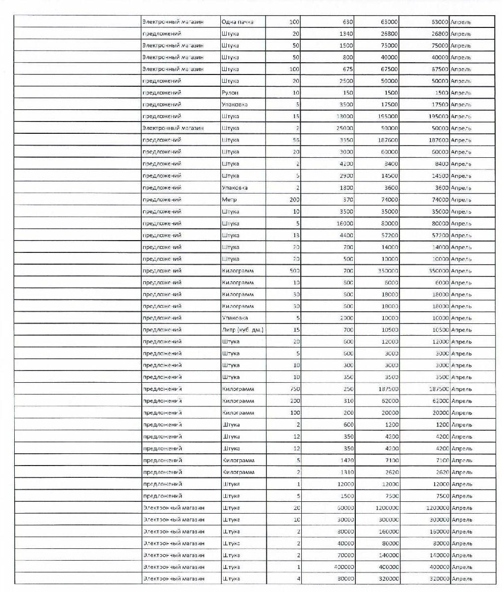
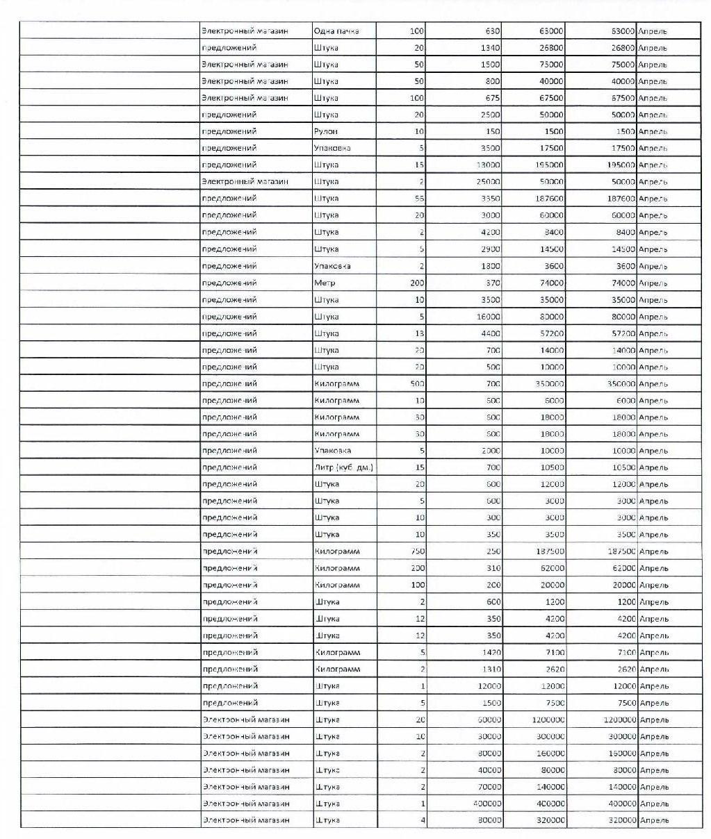
Мемлекеттік сатып алу жоспары













Прокомментировать
  • bowtiesmilelaughingblushsmileyrelaxedsmirk
    heart_eyeskissing_heartkissing_closed_eyesflushedrelievedsatisfiedgrin
    winkstuck_out_tongue_winking_eyestuck_out_tongue_closed_eyesgrinningkissingstuck_out_tonguesleeping
    worriedfrowninganguishedopen_mouthgrimacingconfusedhushed
    expressionlessunamusedsweat_smilesweatdisappointed_relievedwearypensive
    disappointedconfoundedfearfulcold_sweatperseverecrysob
    joyastonishedscreamtired_faceangryragetriumph
    sleepyyummasksunglassesdizzy_faceimpsmiling_imp
    neutral_faceno_mouthinnocent
Введите код с картинки:* Кликните на изображение чтобы обновить код, если он неразборчив

Соңғы жаңалықтар

Барлық жаңалықтар

Жаңалықтар топтамасы

Біздің ұжым